In de praktijk zul je vaak zien dat de vraag gedurende de leadtime varieert, terwijl de leadtime zelf ook niet constant is. In zo’n geval moet je veiligheidsvoorraad groot genoeg zijn voor het opvangen van beide onzekerheden. De daarvoor benodigde veiligheidsgraad zou je kunnen bepalen door de uitkomsten van de formules voor beide onzekerheden te combineren door optellen van de veiligheidsvoorraad voor de vraagvariatie en die voor de levertijdvariatie. Dat levert echter een te grote veiligheidsvoorraad op.
Dat zit hem in de kansverdelingen. Het kan best zijn dat de vraag veel groter is dan gemiddeld, maar het zou wel erg toevallig zijn als dan ook de levertijd veel langer dan gemiddeld uitpakt. Dat kan wel, maar de kans op die combinatie is klein.
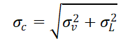
Als het gaat om twee grootheden die onafhankelijk van elkaar variëren, dan mag je de afzonderlijke varianties optellen en uit de gevonden som de wortel te trekken om de gecombineerde spreiding berekenen (even ter herinnering: de variantie is het kwadraat van de standaarddeviatie).
In formulevorm:

Hierin is σc de gecombineerde spreiding en zijn σv en σL de spreidingen in onafhankelijke grootheden, in dit geval de vraag en de levertijd. Let op, ze moeten wel in dezelfde eenheid zijn uitgedrukt, bijvoorbeeld allebei in stuks per maand.
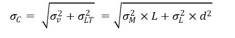
Als je de gecombineerde spreiding toepast voor bepalen van de veiligheidsvoorraad, dan moet je er dus voor zorgen, dat σV en σLT in dezelfde eenheid worden uitgedrukt, bijvoorbeeld allebei als de spreiding van het aantal stuks gedurende de levertijd.
Als de leadtime afwijkt van de eenheid van de spreiding, zul je dus eerst de spreiding van de vraag gedurende de leadtime moeten bepalen.
De spreiding van de vraag per maand herleid naar de spreiding gedurende de leadtime
σv = σM x √L de variantie is σ2M x L
De spreiding van de vraag per maand herleid naar de spreiding van de leadtime
σLT = σL x d de variantie is σ2L x d2
De gecombineerde standaarddeviatie is de wortel uit de som van de varianties:

De benodigde veiligheidsvoorraad vind je door σC te vermenigvuldigen met de veiligheidsfactor k die behoort bij de gewenste servicegraad. Dat resulteert in de volgende formule voor de gecombineerde veiligheidsvoorraad voor het afdekken van de onzekerheid in de vraag èn in de levertijd:

Voorbeeld
De vraag naar koffie in supermarkt SuperM blijkt ongeveer normaal verdeeld te zijn, met een gemiddelde van 60 pondspakken per dag met een standaardafwijking van 15 pakken. De leadtime voor aanvulling van de voorraad is (bij benadering) ook normaal verdeeld. De gemiddelde levertijd bedraagt 3 dagen, met een standaardafwijking van 0,5 dag. Bij welke voorraad moet er worden besteld als SuperM voor koffie streeft naar een servicegraad van 98%?
Het bestelniveau is gelijk aan de gemiddelde vraag gedurende levertijd (3 x 60) plus de veiligheidsvoorraad. Voor de veiligheidsvoorraad vult SuperM de formule in:

Het bestelniveau is wordt (bij een BQ-systeem) 3 x 60 + 81 = 261 pakken.
Tenslotte:

figuur 10: drie soorten kansverdeling