In Verdieping 2A van Module 6 zag je hoe verschillende Pareto-analyses kunnen worden gecombineerd, van ABC naar Aa, Ab etc. Dat is van belang voor bijvoorbeeld transport of voor opslag, want naast de aantallen stuks, zijn daarvoor ook de volumes en gewichten van belang. Om transport of opslag beter in de hand te krijgen, ligt het voor de hand, om een ABC-analyse te maken van het assortiment op aantal eenheden, volume of gewicht en die analyses te combineren. Daarnaast kunnen ABC-analyses van de afnemers (volume, gewicht of aantal eenheden per drop) behulpzaam kunnen zijn, bijvoorbeeld bij het toekennen van prioriteiten. Dankzij de ABC-indelingen kun je groepen onderscheiden, waarvoor mogelijk andere service uitgangspunten kunnen worden gehanteerd. Die kun je dan per groep financieel doorrekenen, wat vaak tot andere inzichten leidt, dan wanneer je dezelfde berekening zou maken voor het totale assortiment.
Stel dat het resultaat van de ABC-analyses is, dat je de leverfrequentie van de Aa-categorie uit je assortiment wilt verhogen en tegelijk de order-doorlooptijd wilt verkorten. Voor de afnemers kan dat een grote serviceverbetering opleveren, het gaat immers ook bij hen om artikelen die veel ruimte of kapitaal innemen. Vaker en sneller afleveren, betekent dat zowel hun bestelserie als hun veiligheidsvoorraad omlaag kunnen. Verlagen van de gemiddelde voorraad levert bij volumineuze (en ook bij kostbare) producten grote voordelen. Dat kan wel een flinke aanpassing vragen van je distributiestructuur: je voorraad moet dichter bij de afnemers liggen, om de transportkosten beperkt te houden. Zou decentrale opslag van dit deel van het assortiment voordelen bieden? Lagere kosten? Betere service?
Omgekeerd, aan het einde van de ABC-lijst, merk je dat het assortiment een lange staart heeft. Je kunt je afvragen of voor die artikelen de doorlooptijd wellicht wat langer mag zijn en leverfrequentie wellicht wat omlaag kan worden gebracht. Is centrale opslag voor dit deel van het assortiment de optimale oplossing bij het afwegen van kosten en service?
Er spelen diverse kosten- en serviceafwegingen om te kunnen beslissen of een deel het assortiment beter vanuit een voorraadpunt dichtbij de klanten kan worden gedistribueerd en dat een ander deel beter vanuit een centrale voorraad kan worden geleverd. In deze Verdieping beschouwen we maar een deel van deze problematiek: we beperken ons in deze Verdieping tot de effecten op de voorraad, waarbij met name de veiligheidsvoorraad om aandacht vraagt.
Voor de detailhandel is winkelruimte kostbaar en weinig flexibel. Het is de bottleneck in de bedrijfsvoering. De detailhandel (en zeker een grote detailhandelsketen) zal daarom steeds zoeken naar methoden om in de winkels de voorraad (per product) te verlagen. Want dat biedt ruimte voor uitbreiding van het assortiment.
Minder voorraad in de winkel bij gelijke of hogere servicegraad, kan alleen worden gerealiseerd door de voorraad stroomopwaarts in de keten neer te leggen (bij het DC of liever bij de leveranciers), waarbij levering aan de winkels vaak, snel en stipt moet plaats vinden. Hierdoor nemen (per product) de voorraadkosten bij de winkels, de ‘lager’ gelegen schakels, weliswaar af, maar het probleem komt te liggen bij de ‘hogere’ schakels in de keten. Voordeel: daar zijn de voorraadkosten (per product) lager om twee redenen: de kostprijs is lager en er is minder veiligheidsvoorraad nodig. Nadeel: er staat wel iets tegenover, namelijk vaker, sneller en stipter leveren.
Veiligheidsvoorraad centraal of decentraal
De veiligheidsvoorraad hangt af van de variatie in de vraag. Als we de standaarddeviatie op winkelniveau (van winkel i) aanduiden met σi, dan is de vv voor die winkel κσi√L. Waarin κ de servicefactor is en L de leadtime. Als de keten bestaat uit n winkels, dan is de totale vv in de winkels de som van alle vv’s per winkel:

Als voor alle winkels κ en L gelijk zijn (wat in de praktijk heel vaak ongeveer zal opgaan), is dit te herschrijven als:

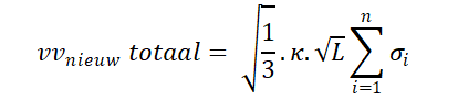
Stel dat de leadtime voor de producten in Pareto-klasse A van 3 dagen zou kunnen worden verkort tot 1 dag, dan betekent dat nogal wat voor de vv in de winkels. Ga maar na: in bovenstaande formule wordt de L een factor 3 lager. Uitgaande van de oorspronkelijke leadtime L wordt de formule voor de nieuwe vv:


De wortel uit 1/3 = 0,58, met andere woorden, de nieuwe vv is 0,58 maal de oude. D oor de leadtimeverkorting van 3 dagen naar 1 dag kan de vv in de winkels dus bijna halveren.
De verkorting van de leadtime maakt het tegelijk mogelijk om de bestelfrequentie te verhogen zonder ‘overlap’ tussen twee op elkaar volgende bestellingen. Daardoor gaat de voorraad in de winkels verder omlaag: gemiddeld zal B tot een derde omlaag gaan, waardoor de serie-afhankelijk voorraad in de winkels met een factor 3 daalt. Er staat wel wat tegenover: dagelijks transport naar de winkels, dus wellicht meer transportkosten en het distributiecentrum krijgt meer (kleinere) orders, waardoor daar de vv omhoog zal moeten. Voor beide (nieuwe) vraagstukken is een oplossing: