De voorraden in de keten kunnen worden verlaagd, als in de distributie gebruik wordt gemaakt van cross-docking: de goederen direct overslaan vanuit de vrachtwagens van de leverancier, rechtstreeks naar de vrachtwagens die rijden naar ‘lager’ in de keten gelegen magazijnen, naar de afnemers, of de filialen. Als je naar de totale ketenkosten kijkt, blijkt dat door deze beweging de totale voorraadkosten afnemen terwijl de transport- en handlingkosten ongeveer gelijk kunnen blijven.
Met behulp van DRP-software (Distribution Requirements Planning) is het mogelijk om dit principe te modelleren. Je vindt DRP in Verdieping 2 van Module 15, hier gaan we niet verder in op de rekenwijze van DRP, maar concentreren we ons op het effect van structuurverandering op de veiligheidsvoorraden.
Stel je een keten voor bestaande uit een centraal ontvangst DC (CDC) en regionale DC’s (RDC’s). Het CDC wikkelt alle ontvangsten af van leveranciers, de RDC’s krijgen geleverd vanuit het CDC. Bestellen gebeurt centraal op basis van de voorspelde behoefte per RDC, en dat gebeurt op basis van de prognose zoals die op het moment van bestellen bekend is. De order gaat naar de leverancier en de afgesproken levertijd gaat in.
Op het moment dat de leverancier de goederen aflevert, ga je niet gelijk leveren aan de RDC’s, maar kijk je opnieuw naar de behoefte per RDC. Het kan immers zo zijn dat de behoefte in RDC1 hoger is geworden en in RDC3 een stuk lager. Door de herbeschouwing voorkom je dat RDC1 “nee” moet verkopen, terwijl RDC3 teveel producten krijgt, die kunnen bederven of mogelijk met korting moeten worden verkocht. Door de herbeschouwing verkort je de leadtime aanzienlijk, met grote positieve gevolgen voor veiligheidsvoorraden en serviceniveaus.
We zullen dit principe aan de hand van een voorbeeld uitleggen.
Voorbeeld
Groothandel in medicijnen PharmaGroot heeft 4 regionale distributiecentra (RDC’s) verspreid over het land. Van daaruit levert PharmaGroot de artikelen aan de apotheken. Elk RDC heeft een compleet assortiment en kan met hoge servicegraad direct uit voorraad leveren.
De nieuwe logistiek manager Roel Grand stelt voor om een centraal DC te openen, voor artikelen met een hoge spreiding in de vraag. Als zijn voorstel wordt aangenomen, zullen deze artikel voortaan in dit CDC worden ontvangen en van daaruit worden de RDC’s bevoorraad. Zijn plan laat de volgende structuur zien voor deze groep artikelen (de artikelen met een grote spreiding van de vraag):

figuur 1: distributiestructuur zonder en met een CDC
De nieuwe structuur die Roel Grand voorstelt, heeft als voordeel dat de voorraadplanner pas op een laat moment voorraad hoeft toe te wijzen aan een RDC. De totale voorraad in de keten kan afnemen, doordat de onzekerheidsperiode (de periode waar de veiligheidsvoorraad voor bestemd is) kleiner wordt voor de RDC’s.
De directrice van PharmaGroot gaat niet gelijk overstag, ze verwacht juist een toename van de voorraad, omdat er een schakel bij komt in de structuur. Roel staat gelukkig stevig in z’n schoenen en vertelt haar, dat het niet zijn bedoeling is dat er voorraad in dit CDC komt te liggen, het moet in zijn visie een cross-dock centrum worden.
Als je kans ziet om de informatie over decentrale behoeften te verzamelen en te vertalen in een centrale bestelling, dan kun je aanzienlijke besparingen op je veiligheidsvoorraad realiseren. Net als Roel Grand, moet je dan in je structuur een centraal DC (CDC) opnemen, maar daar hoef je geen voorraad neer te leggen. Het kan een voorraadloos centrum zijn, dat alleen bedoeld is voor centrale ontvangst en dat ma de ontvangst de goederen direct door levert aan de RDC’s. Maar wel na herberekening van de behoeften van de RDC’s op basis van bijgewerkte prognoses. De besparing op de veiligheidsvoorraad bij de invoering van een voorraadloos CDC kun je vinden met behulp van de rekenmethoden van statistisch voorraadbeheer. We zullen dat uitleggen.
De randvoorwaarden voor gebruik van dit model zijn de gebruikelijke:
We gaan er in onderstaande berekeningen gemakshalve vanuit dat de transportvoorraden in beide distributiestructuren (met en zonder CDC) gelijk blijven.
Per RDC is de veiligheidsvoorraad in de oude situatie (met L0) te berekenen met de formule:

De nieuwe situatie is anders, er is en schakel bijgekomen, waardoor de onzekere periode anders wordt vanuit de RDC’s gezien.
Onderstaande formule geldt bij de aanname dat de som van de levertijd van leverancier naar CDC (L0) plus de levertijd van CDC naar RDC (Li) samen nagenoeg gelijk is aan de huidige levertijd van leverancier naar RDC. Verder gaan we ervanuit dat het CDC zelf geen voorraad aanhoudt, maar direct door levert (cross-docking).
De formule voor de getotaliseerde veiligheidsvoorraad bij n RDC’s luidt:

De symbolen staan voor:
N = aantal DC’s
L0 = levertijd van leverancier naar CDC,
Li = levertijd CDC naar RDCi,
I = ‘review’-interval (het bestelinterval bij een S-systeem),
a = kans op nee-verkoop (1-servicegraad),
κa = veiligheidsfactor, behorend bij kans op nee-verkoop (a),
σi = standaardafwijking van de vraag in RDCi,
vv = totaal benodigde veiligheidsvoorraad.
Het eerste gedeelte van deze formule betreft de veiligheidsvoorraad die een RDC nodig heeft om de onzekerheid tijdens de levertijd van leverancier naar CDC op te vangen (σ tijdens L0). Je telt daarbij op de veiligheidsvoorraad die het RDC nodig heeft om de onzekerheid op te vangen tijdens levering van CDC naar RDC plus de ‘reviewperiode’, dat is de spreiding van de vraag gedurende Li plus I. Het samenvoegen van de standaarddeviaties van twee onafhankelijk van elkaar variërende grootheden is mogelijk door eerst de deviaties (σ) te kwadrateren, dan op te tellen en vervolgens van die som de wortel te nemen.
De formule voor de getotaliseerde veiligheidsvoorraad in de RDC’s (dus zonder het CDC) luidt:

De formule is eenvoudiger dan de vorige, omdat we hier alleen maar de veiligheidsvoorraden van de RDC’s bij elkaar optellen. Daar is dan bij verondersteld, dat de leadtime van de leverancier(s) naar de RDC’s gelijk is aan de som van de leadtime naar het CDC plus die van CDC naar RDC.
Bij het CDC concentreer je de vraag uit een groter gebied. De gemiddelde vraag in het CDC is gelijk aan de som van de gemiddelde vraag van alle RDC’s. Maar de spreiding van de vraag in het CDC is gelijk aan de wortel uit de som van de kwadraten van de spreidingen in de RDC’s. En dat is aanzienlijk minder dan de som van die spreidingen. Door invoegen van het CDC wordt de spreiding in de vraag gedurende de totale levertijd dus kleiner. Dààr zit de winst in veiligheidsvoorraad. Het verschil in voorraadhoogte hangt af van de onzekerheid in de vraag gedurende de levertijd L0 voor ieder RDC, het aantal RDC’s en de lengte van de levertijd L0.
Voorbeeld
PharmaGroot heeft 4 RDC’s om alle klanten in het land te bevoorraden. De directrice wil weten wat de voordelen zullen zijn als Roel Grand een centraal DC opent, waar hij alle goederen ontvangt en vervolgens naar de RDC’s verdeelt. Voor de berekening neemt Roel Grand aan dat de locatie van het CDC zo kan worden gekozen, dat de levertijd van CDC naar RDC een halve dag zal zijn (Li=0,5). Hij neemt voor zijn berekeningen het typerende artikel Seroks van leverancier Glakz. De levertijd vanaf Glakz naar de RDC’s is nu 5,5 dagen.
Roel neemt aan dat deze leverancier iets sneller zal kunnen leveren aan een centraal gelegen CDC, zodat de levertijd kan dalen naar 5 dagen (L0=5). De voorraad in de RDC’s wordt dagelijks gevolgd (reviewtijd i=1).
De vraagkarakteristieken van Seroks in de 4 RDC’s staan in de onderstaande tabel weergegeven:

tabel 1: karakteristieken van de 4 RDC’s
Voor de berekening van de benodigde veiligheidsvoorraad gebruikt Roel de onderstaande tabel.
Tabel 2: berekening veiligheidsvoorraad met 4 RDC’s
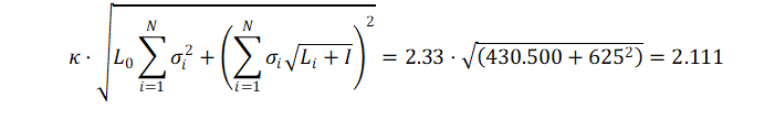
Het blijkt dat PharmaGroot 3.037 stuks als veiligheidsvoorraad aan moet houden, om aan de gewenste servicegraad te kunnen voldoen. Voor de situatie met een CDC, gaat Roel de hoogte van de veiligheidsvoorraad berekenen met de wortelformule:

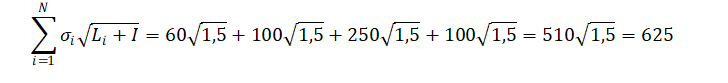
Hij doet dat deel voor deel (eerste deel van de formule onder het wortelteken)
(het deel tussen haakjes van de tweede term onder het wortelteken)

De benodigde veiligheidsvoorraad is nu te berekenen door de complete formule in te vullen:

vv =
(κ is 2,33 bij een kans op nee-verkoop van 0,01)
Dus door invoegen van een CDC, voor cross-docking naar de RDC’s, kan de veiligheidsvoorraad dalen van 3.037 naar 2.111 stuks. In het voorstel van Roel betekent dat een daling van ruim 30%.
Roel krijgt nu wel te maken met een allocatievraagstuk: “als er goederen in het CDC klaar staan voor verzending, hoe verdeel ik die dan over m’n RDC’s”. Voor deze herverdeling bestaan verschillende oplossingen. Roel zou er bijvoorbeeld voor kunnen kiezen om per RDC te kijken naar de voorspelde vraag in combinatie met de nog aanwezige voorraad. Omdat de (centraal) beschikbare hoeveelheid ook groter of kleiner zou kunnen zijn, dan de totale behoefte van de RDC’s op dat moment, heeft Roel ook een verdeelcriterium nodig voor de overschotten of de tekorten. Hij doet dit met een allocatiefactor (P) per RDC. De factor P, stelt hij per RDC vast naar rato van de vv’s van de RDC’s: P is de vv van RDC1, gedeeld door de som van de veiligheidsvoorraden van alle n RDC’s.
In formulevorm is de allocatieparameter (P) voor RDCi :

De vv’s van de RDC’s worden nu berekend met de korte leadtime vanaf het CDC: Li + I.
Als in het CDC een ontvangen levering (beschikbaar) gereed staat om te verdelen over de RDC’s, wordt de toewijzing aan RDC1 nu gelijk aan:
De voorspelde vraag van RDC1 minus de aanwezige voorraad in RDC1 plus de correctiefactor P1 maal de totaal aanwezige voorraad:
P1 x (beschikbaar in het CDC- totaal voorspelde vraag bij alle RDC’s + totaal aanwezige voorraad in alle RDC’s).
Natuurlijk is veiligheidsvoorraad maar één van de factoren waarop de directrice van PharmaGroot de beslissing zal baseren om al dan niet met een CDC te gaan werken. Andere factoren zullen zijn de kosten van het transport, vanaf de leveranciers naar het CDC en tussen CDC en RDC, de kosten van het gebouw, de personele kosten, de overhead en besturingslasten. Maar ook daar weet Roel een oplossing voor.