De veiligheidsvoorraad is een extra hoeveelheid, bedoeld voor onvoorziene omstandigheden. De hoogte van de veiligheidsvoorraad staat geheel los van de seriegroottevoorraad. Het verloop van de voorraad kan er in theorie uitzien zoals in figuur : als er totaal geen onvoorziene dingen gebeuren, heb je precies je veiligheidsvoorraad over op het moment dat je een nieuwe serie ontvangt.
Bij statistisch voorraadbeheer, dient de veiligheidsvoorraad ervoor om variaties in de vraag en om fluctuaties in de levertijd op te vangen.

figuur 7: veiligheidsvoorraad als extra voorraad
De benodigde hoeveelheid veiligheidsvoorraad staat in relatie tot het vereiste serviceniveau. Meestal wordt dat serviceniveau uitgedrukt als ‘de servicegraad’. Het aanhouden van een relatief grote veiligheidsvoorraad heeft als resultaat dat zowel een toevallige grote vraag tijdens de levertijd als een af en toe voorkomende toevallige levertijdoverschrijding opgevangen kan worden.
Noot: In een productiebedrijf kun je de vraag naar onderdelen beter niet beschouwen als onafhankelijk, maar als afhankelijk. Namelijk afhankelijk van het productieplan. Dat heeft een gunstige invloed op de veiligheidsvoorraden, want die zijn dan alleen nog nodig voor opvang van variaties in de productiedoorlooptijd.
|
de gemiddelde voorraadhoogte
Stel dat er sprake is van een gelijkmatig afnamepatroon en van periodieke aanvulling van de voorraad met vaste seriegrootte Q, dan is je gemiddelde voorraad gelijk aan de helft van de seriegrootte: ½ Q. Wanneer je naast de seriegroottevoorraad ook een veiligheidsvoorraad aanhoudt, dan stijgt je gemiddelde voorraad met deze extra voorraad, want (gemiddeld gezien) is de veiligheidsvoorraad nog over als een nieuwe serie binnenkomt:
gem. voorraad = ½ Q + vv
|
Waarbij:
Q = seriegrootte
v v = veiligheidsvoorraad
Dit kun je ook zien in figuur 8.

figuur 8: de zaagtand van het voorraadverloop laat zien: gem. voorraad = ½ Q + v v
Een bekende meetwaarde (prestatie-indicator) voor de gemiddelde voorraadhoogte is de omloopsnelheid. Hieronder verstaan we het aantal malen per jaar dat je de gemiddelde voorraad verbruikt.
In formulevorm:

Een andere veelgebruikte maatstaf (prestatie indicator), die eigenlijk hetzelfde zegt over de voorraadhoogte, is de dekking: het aantal periodes, waarvoor de aanwezige voorraad voldoende is (bij een gemiddeld verbruik per periode).

De dekking druk je uit in dagen, weken of maanden.
Er bestaat een vaste relatie tussen de omloopsnelheid en de dekking, ze zijn elkaars omgekeerde.
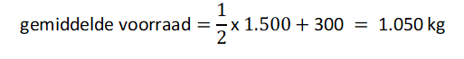
Voorbeeld
FijnSpees koopt het artikel Koriander bij een importeur. De voorraadbeheerder van FijnSpees werkt met een voorraadbeheersysteem. Het systeem geeft aan dat de optimale bestelserie 1.500 kg bedraagt. De veiligheidsvoorraad is 300 kg. Jaarlijks verbruikt FijnSpees 14.000 kg Koriander. Een jaar bestaat uit 250 werkdagen.
De volgende kengetallen kun je met bovenstaande informatie berekenen:



De omloopsnelheid maal de dekking (13,3 x 18,75) is in dit geval 250, omdat er in het voorbeeld is gerekend met 250 werkdagen per jaar.