Logicollege

Transportvoorraad

Geef een reactie

Je e-mailadres wordt niet gepubliceerd. Vereiste velden zijn gemarkeerd met *

Zowel binnen een bedrijf als tussen bedrijven worden producten en materialen getransporteerd. Sommige goederen gaan vaak en lang op transport. Van de ene productieafdeling naar de andere, van productie naar magazijn en vice versa, tussen magazijnen onderling of van een DC naar klanten. Alle producten, materialen, inkoopdelen en modules die intern of extern van de ene locatie naar een andere onderweg zijn noemen we transportvoorraad.

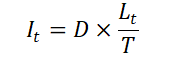
De hoogte van de transportvoorraad is enerzijds afhankelijk van de omvang van de transporten (Qt) en anderzijds van de transporttijd (Lt). Om inzicht te krijgen in de omvang, kun je de transportvoorraad uitdrukken als de voorraad die gemiddeld in een jaar onderweg is. In onderstaande formule hebben we dit weergegeven.

waarbij:

Waarin:

It      = gemiddelde transportvoorraad in eenheden op jaarbasis

D      = vraag per jaar in eenheden

N     = aantal transportseries per jaar

Qt    = transportserie

Lt     = totale tijd dat een eenheid ‘op transport’, onderweg is

T      = aantal tijdseenheden per jaar

Met T, tijdseenheden per jaar wordt bedoeld het aantal rekeneenheden zoals die waarin de transporttijd Lt is uitgedrukt. Doorlooptijd van transport Lt in (werk-)dagen? Dat ook T uitdrukken in (werk-)dagen.

Voorbeeld

De vraag (D) naar een bepaald type laptop is 40.000 stuks per jaar. De waarde per stuk (K) is € 300,-. De doorlooptijd van het transport uit China (Lt) is 1,5 week. En het aantal tijdseenheden per jaar is 50 weken (T)

 

Gemiddelde transportvoorraad (It) is 40.000 x 1,5 / 50 = 1.200 stuks

in geld uitgedrukt: 1200 x € 300, = € 360.000,-.

In dit voorbeeld zou een halvering van de transporttijd (bijvoorbeeld door een snellere vervoerder te nemen) een voorraadverlaging van € 180.000,- tot gevolg hebben. Dit resulteert op twee manieren in een verbetering van het bedrijfsrendement:

  • een verlaging van het in de (transport)voorraad geïnvesteerd vermogen,
  • een vermindering van de voorraadkosten.

De transportvoorraad is vaak een ‘vergeten voorraad’. De reden hiervoor is vrij simpel, niemand voelt er zich verantwoordelijk voor en het staat niemand in de weg. Maar let op, in sommige ondernemingen) bestaat de voorraadwaarde voor een groot deel uit transportvoorraad. Dat speelt met name bij bedrijven die hun producten in het Verre Oosten laten produceren.

In zo’n geval kun je aanzienlijke besparingen realiseren door de transportvoorraad effectief te beheersen.

Onderdeel van de transportvoorraad is douanevoorraad of entrepotvoorraad. Dit zijn goederen die tijdelijk in een speciaal pakhuis worden opgeslagen en die nog zijn niet ingeklaard; ze staan onder toezicht van de belastingdienst of de douane en mogen (nog) niet vrij worden vervoerd.